| Pp. 1-13 of the Proceedings | ![]() |
In order to develop system administration strategies which can best achieve organizations' goals, impartial methods of analysis need to be applied, based on the best information available about needs and user practices. This paper draws together several threads of earlier research to propose an analytical method for evaluating system administration policies, using statistical dynamics and the theory of games.
System administration includes the planning, configuration and maintenance of computer systems. The discipline of system administration is traditionally founded on the anecdotal experiences of system managers [1, 2], but this can only be carried so far; formal (mathematical) analyses of system administration have only recently begun to enable more scientific studies to be carried out [3, 4]. A lack of formal methods makes it difficult to express objective truths about the field, avoiding marketing assertions and the vested interests of companies and individuals. The aim of this paper is to summarize a mathematical formulation of system administration, which can account for a basis of empirical evidence, and which provides an objective approach to study. This is central to the present discussion on developing system administration as a formal discipline.
In previous work by the author and collaborators, it has been shown how aspects of the average empirical behaviour of systems of computers and users can be modelled using fairly straightforward statistical ideas [5, 6, 7, 8]. This has allowed a coarse statistical model of computer systems to be built, which can be used as a backdrop for studies of system administration. Previous work by other authors has also attempted to look at computer ecosystems in terms of differential equations [9]. In the future additional mathematical models will, no doubt, be devised in order to study other issues.
One of the obstacles to formulating a complete theory of system administration is the complexity of interaction between humans and computers. There are many variables in a computer system, which are controlled at distributed locations. Computer systems are complex in the sense of having many embedded causal relationships and controlling parameters. Computer behaviour is strongly affected by human social behaviour, and this is often unpredictable. However, the central question in any scientific investigation is one of balance: can one formulate a quantitative theory of system administration, which is general enough to be widely applicable, but which is specific enough to admit analysis?
The outline of this paper is as follows. To begin the discussion some simplified assumptions about the aims of system administration are stated. Next, two types of quantitative model, describing a computer system interacting with users (possibly via a network), are described and the primitive operations which can be carried out within the scope of the models are identified. The two types of model are referred to as type I (passive) and type II (strategic). A method of quantifying the benefits and flaws of different strategies emerges from this discussion. Strategies for system administration and for user behaviour may then be formulated and arranged in a matrix allowing the task of administrating a computer system can be described in precise game theoretical terms. The primary goal of this work is to provide the recipe for performing this kind of analysis.
Capturing such a complex pursuit as system administration in a few simple rules is presumptuous, but approximately possible if one focuses on core activities. In order to make progress one must agree on some specific aims for users and administrators. The purpose of defining the aims of the interested parties in a computer system, is to come up with a good enough abstraction for system management that specific issues may be addressed in quantifiable terms. In this paper, the word `system' will be taken to mean any organized collection of computers interacting with a group of users. The assumptions used are these:
A possible quantitative definition of `useful work' is the amount of user-data modified on the computer system. plus the information transmitted to or from remote locations. This can be refined for specific purposes. Time spent fighting for control of a damaged machine, or other users, for example, is not useful work for normal users.
This short list of aims does not encompass every eventuality, but
it establishes a starting point. In addition to these points, it is
necessary to provide a scheme of values about what is subjectively
good or bad about the system. When are things going well and when are
things going badly? This is done by specifying a system policy
[10, 11].
A system policy is a specification of a system's
configuration and its acceptable patterns of usage. A complete
policy therefore affects the basic installation of the system
and also the way it changes in time due to interaction with
users.
A system policy is the pillar of truth and measuring stick against
which one determines whether system activity is acceptable or
unacceptable. A sufficiently complete system policy can also include
a complete configuration blueprint and thus determine whether the
state of configuration is acceptable. The central theorem, which was
found in [3] is:
A sufficiently complete specification of a system policy leads to
the notion of an ideal average state for the system. Over time,
the ideal average state of the system degrades. The aim of system
administration is to keep the system as close to its ideal state
as possible.
The meaning of the theorem is that it identifies system administration as a regulatory procedure. This idea of regulatory action was originally introduced, using the term convergence, in connection with the system administration tool cfengine [5, 12, 13]. Cfengine is a program used to automate the regulation of host state, by making it converge towards its `ideal state' with every execution of cfengine. For cfengine, the ideal state is achieved when every detail of a computer configuration appears to be correctly implemented and no changes to the system made by users contravene system policy. Thus `state' refers to adherence to a policy. The cfengine model turns out to be a useful starting point for discussing system administration, since it offers a detailed and concrete idealization of system administration tasks in terms of sequences of primitive actions. Currently, cfengine does not have a complete picture of system state, at all levels, though part of the aim of this kind of work is to improve on that situation. However, by basing a study on this idea one also obtains, as a side effect, a theoretical evaluation of the model which can be used to improve cfengine's design in the future.
Without proving the central theorem in this paper, it is helpful to provide a brief explanation of how the ideal state is constructed, and why it is only possible to insist on an average description of idealness.
State is a snapshot of the condition of a system, which results from its current configuration and the history of all tasks which have consumed and released its resources over time. To picture state, it is helpful to think of a human analogy. In [6], the analogy with human health was drawn. Using another analogy, that of evolutionary fitness or adaptation for a purpose, host state can be envisioned on an arbitrary scale, which makes the ideal state that condition in which the system is best able to perform its tasks. As with humans, general fitness of a computer system is a combination of two parts: a part which is determined by inherited properties and a part which is the result of its interaction with the environment.
For humans, the state of fitness would be the sum of genetically determined attributes (roughly speaking, a policy for the operation of the organism) and current physical fitness (the attunement or degradation resulting from interaction with environment). For a computer system, there is a similar duality: state refers to a part which is the sum of all configuration and policy decisions (basic design quality) and a part which results from an interaction with users and network impulses (input/output).
Thus state separates into policy and environment. The state of a computer system S(t) changes continuously with time, due mainly to the interaction with the environment, but also internally, as a general consequence of the second law of thermodynamics (a statistical inference which notes that the number of ways in which a system can be disordered is far greater than the number of ways it can be ordered (adhering to policy), thus any random change is statistically more likely to lead to disorder than to order). This is the principle of increase of entropy [14, 15].
The environment of a computer system can be thought of as an
external batch of transactions (see Figure 1), i.e., input and output
which appears and disappears as users interact with the system. Each
transaction makes use of resources and has the possibility of
affecting the state S(t) of the system by an amount
S(t).
The number of transactions is generally large for periods of time over
which one expects the host state to change significantly: transactions
last usually milliseconds, whereas host behaviour is self-similar
often over days and weeks [7].
From empirical studies [7, 8], one has a picture of a computer
system as having an stable average condition over periods of time, but
fluctuating considerably in response to specific transactions. In
other words, over days and weeks, computer resources change, but over
many weeks the pattern of usage has a mean value which shows a stable
pattern. At any given time, the actual values of resource variables
are different from the mean, but these differences average out to an
average condition, or state. If this average state of the host is to
be maintained near its ideal state then one hopes that the
fluctuations from the mean There are thus four ideas of state which need to be considered:
the ideal average state In order to speak of an average state, one has to say what average
means. This has been defined precisely, using the theory of dynamical
systems in [4] and turns out to be a regular arithmetical mean,
calculated from a sliding window data sample, which advances over
time. Because computer behaviour shows approximate periodic
repetition, the average is defined in terms of co-cycles, over days
and weeks: the two sociological influences which have profound
implications for computer behaviour. Our empirical studies, at Oslo,
have shown that fluctuations in the state must be averaged over a
window of at least two or three weeks [7, 8] in order to see reliable
stable behaviour under normal usage. This is the time scale over which
users repeat their behaviour several times, within the framework of
daily/weekly cycles.
Note that the ideal average state is only approximately constant
(it changes slowly, at the same rate as the average changes), whereas
the other states change with more rapidly time (on the time scale of
individual interactions with the system). The average ideal state
changes much more slowly than the actual state, precisely because it
is averaged over coarser grains of time.
A notion of idealness can thus only be characterized for an
average state because the system is constantly changing as users
interact with it. Even the mean value is changing slowly with time. In
physics of statistical systems, this is referred to as non-equilibrium
behaviour. However, the fact that this decomposition is possible is
important. It separates the effects of independent scales from one
another. What happens in the short term is different to what happens
on average, since one deviation might correct another, leaving no net
problem. For example, if a user consumes a large amount of resources
for a brief time (a temporary file, for instance) while performing
useful work, this will only affect the actual state of the system for
the duration of that task, provided the file is removed afterwards. A
policy of file temporary file garbage collection can always remove
such a file even if a user doesn't. The average state will therefore
be relatively unaffected by short term changes. The meaning of the
environmental ideal average state is therefore to define an interval
of stability for interaction with environment. The system will always
deviate from the so-called ideal state, but that need not be a problem
as long as it does not deviate far from it for long periods of time.
There are two types of disturbance How can changes of state be characterized precisely? An obvious
choice is to use the mathematical idea of a lattice, or discrete
vector space. Although computer behaviour often has the appearance of
a continuously varying load, the actual changes are all discrete in
nature. Any interactive change in the system may be broken down into a
sequence of discrete primitive operations. See Table 1 for the
primitives used by cfengine [5, 12].
Any change to the configurable system, can be expressed in terms
of these primitives. In addition to these, there are kernel variables
which contain data that can be used to determine environmental state.
Each independent primitive can be thought of as an axis in an
n-dimensional lattice. Each change in the state of the system, of a
given type, is a movement through the lattice in that direction.
Moreover, since the averaging procedure for environment effectively
divides up time into co-cyclic discrete units, (days and weeks) and
scaled coarse-grained intervals, it is possible to draw the the state
of the system on a lattice (see Figure 2). Mathematicians note: the
lattice is only conformally distorted by changes in the averaging
procedure; the structure is preserved.
In principle, there is a single point in the lattice which
represents (at any given time) the most ideal state possible. In
practice, one is only interested in keeping the system in a region,
not too far from this practically unobtainable ideal point.
Changes to system policy must also be discrete strings of these
primitives, since they have to be implemented using the primitives,
and thus a change in policy is simply a translation of the ideal state
through the lattice.
Suppose one places the ideal state arbitrarily at the origin of
this lattice. The further the system deviates from this origin, the
more precarious the state of the system. Eventually when the state
strays a sufficient distance from the origin, the system will exhaust
its resources and fail completely. In the intervening distance, the
system is working in accordance with policy when it is close to the
ideal state. Using the Euclidean distance as a Hamming distance, for
change in the system, it is possible to see that the number of
corrective actions for required to return the system to its ideal
state grows only linearly, however the number of possible corrective
procedures increases exponentially.
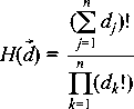
The number of equivalent paths H( The conclusion is that it is in the system's best interests to
remain close to the ideal state at all times. If the remedy to a
particular large deviation were unknown, the search for a remedy, in
state space, would become extremely time-consuming as the magnitude of
the problem increased. The expense or `hopelessness'
H( To summarize, every computer system, with a system policy, has an
ideal state which is based on policy and environmental considerations.
This ideal state fluctuates and degrades with time. The aim of system
administration is to regulate the system to be close to this ideal
state.
An analysis of behaviour in a computer system, interacting with
its environment of users and network impulses, requires two types of
model, which may be referred to as passive (type I) and strategic
(type II). The distinction refers to the level perceived intent
behind the changes which take place.
In a type I description, the computer is viewed as being a
mechanism coupled to a pseudo-periodic, random bath of impulses from
an environment. One considers the effect of the this signal of
impulses on the state S(t). This is the view taken in [7, 8, 16, 4].
A type I model relates the behaviour of computers to that of other
interacting, dynamical systems in mathematics and physics. This type
of description is easily formulated and can be used to predict some of
the average behaviour when the system is approximately stable. It
works particularly well when large numbers of users, or transactions
are involved, but not very well in situations of low usage. It is not
good at predicting significant change, however, since the assumption
of the method is that only gradual changes takes place over relatively
long periods of time.
In a type II description, the computer system is viewed as the
chequerboard for a game of competition between motivated individuals.
This is the view taken in [3]. This type of analysis is designed to
analyze the competitive processes which instigate significant change,
at a more detailed level. It is good at determining the probability of
success when using a set of strategies, and or finding the optimal
strategies to solve a particular problem, but it is more difficult to
apply than a type I description and relies on a knowledge or intuition
of every relevant strategy which might be used by administrators and
users alike.
Influences on the system can thus be classified as either random,
stochastic or passive (type I), or as intentional, adversarial or
strategic (type II), depending on the significance of the change. This
distinction is partly artificial: all changes can clearly be traced
back to the actions of humans at some level, but it is not always
useful to do this. Not all users act in response to an important
provocation, or with a specific aim in mind. It just happens that
their actions lead to a general average degradation of the ideal
state, no malice intended. Thus there is a part of the spectrum of
changes which averages out to a kind of faceless background noise: the
details of who did what are of no concern [7, 8].
From type I models, based on the empirical studies made at Oslo,
we have found that computer systems behave remarkably like photonic
gases in the limit of long times [16]. That is, the occurrence of
events on computer systems mimics the behaviour of black body radiation
in physics. The interpretation of any dynamical variable as a
fluctuating, statistical quantity is made possible by considering the
effect of infinitesimal perturbation to dynamical variables
q(t). One begins by defining averages and correlated
products of the fields q(t), with action S[q]. The
action is a generating functional which determines the constraints on
the behaviour of the dynamical variable q(t) by a variational
principle. For the simplest dynamical systems, one may write
The subscript TB refers stands for `transaction bubbles' and
refers to correlation graphs which are closed loops, i.e., complete
transactions. This form is useful, since it is a self consistent
form, which is derived on the assumption of linear statistical
fluctuations an periodic time. It allows one to express self-
consistent behaviour in terms of the measured variables alone. This
quantity is essentially the free energy; it is a sum over all complete
transactions in a fluctuating system and relies only on the assumed
microscopic model which specifies available freedom and applied
constraints. It can be calculated and compared to the fluctuation
distributions measured for system variables.
Although the model is simple, the agreement with measured values
is reasonable. The reason for this is a subtle but fascinating
interaction between randomness and the order brought about by fixed
daily and weekly rhythms. In fact, ensembles of events collected over
weeks or months are insufficient in number to be perfectly described
by these statistical methods, but the statistical model provides an
idealized limit for computer behaviour, i.e., it provides a well
defined envelope which approximates the system at scale of weeks.
Moreover, it is so much simpler to understand than the actual
behaviour of the system, that it has a valuable role to play in the
discussion.
These studies have shown that computers behave like co-cyclic
oscillators with periods of one day and one week (the rhythms imposed
by the environment of users). Over periods of time which are long
enough to gather enough data, these cyclic constraints reveal
themselves as the shapes of distributions of events over time. They
offer predictions about the statistical nature of the signal.
A type I model describes the average level of activity or
state of the system which is related to the background noise.
The second type of analysis which is required for a computer system is
the analysis of non-cooperative user behaviour, i.e., analyzing which
aspects of user behaviour affect the distribution of resources in the
system. This analysis must be based on the system policy, since
cooperation implies that the system is operating either within or
outside the bounds of behaviour implied by the policy. Analysis must
attempt to evaluate objectively the efficacy of different work
patterns (strategies) employed by users in their interaction with the
system.
A suitable framework for analyzing conflicts of interest, in a
closed system, is the theory of games [17, 18]. Game theory is about
introducing players, with goals and aims, into a scheme of rules and
then analyzing how much a player can win, according to those
restrictions. Each move in a game affords the player a characteristic
value, often referred to as the `payoff.' Game theory has been applied
to warfare, to economics (commercial warfare) and many other
situations. In this case, the game takes place on the n-dimensional
board, spanned by the Resource management is a problem of economics, just as energy
flows in physical systems are to do with the economics of energy. The
difference in system administration is only that there is no a priori
currency for describing the economics of system administration. It is
necessary to invent one. In social and economical systems one has
money as the book-keeping parameter for transactions. In physical
systems, one has energy as the book-keeping parameter. These
quantities count resources, in some well-defined sense.
There are several types or classifications of game. Some games are
trivial: one-person games of chance, for example, are not analyzable
in terms of strategies, since the actions of the player are irrelevant
to the outcome. In a sense, these are related to the first kind of
model referred to above. Some situations in system administration fit
this scenario. More interesting, is the case in which the outcome of
the game can be determined by a specific choice of strategy on the
part of the players. The most basic model for such a game is that of a
two-person zero-sum game, or a game in which there are two players,
and where the losses of one player are the gains of the other.
One feature which distinguishes the analysis proposed here from
pure game theory is that the value associated with different courses
of action is not constant, but a function of time. The periodicities,
discussed in the previous section must be taken into account as well
as longer term changes, finite limits of system resources, non-
linearities and so on. The implication of this is that the usefulness
of a particular strategy varies according to when it is implemented.
The first kind of analysis assumes that the system has an average
state and can therefore be used (at least in principle) to detect
anomalous behaviour, e.g., behaviour which contravenes system policy.
The second type of analysis looks at specific behavioural traits and
attempts to evaluate their implications for the system state in more
detail. Whether user behaviour lies within or outside the bounds of
system policy is a matter of choice. Presumably one is interested in
looking at all common behaviours, weighted by their likelihood in
order to determine whether the system policy is effective enough. To
make a type II theory realistic and tractable, one can imagine
approximating the average background of the system activity using a
type I model, and then studying specific strategies against this
background. This leads to the notion of payoff, system currency in
hybrid models.
Type I and type II models should not be should be thought of as
completely separate issues: the best possible understanding of a
computer system must involve both. Nonetheless it is primarily type II
models which offer the chance to evaluate procedures and strategies of
system administration. Type I models provide the background
understanding of the resource behaviour, required to give substance to
a type II model.
Equipped with a type I model for understanding the average
interaction between user and system (which can be verified
experimentally), one can construct a type II model in order to study a
particular issue, against the average backdrop of type I activity.
What is the outcome of introducing a new policy for governing a
particular system resource, given what is known about how users
generally interact with the system?
The determination of payoff, or the currency of the game is the
central problem now. In order to find strategies which can keep the
system close to its ideal state, one must assign a realistic value to
strategies employed by users and system administrators. This is done
by formulating a matrix (table) whose rows and columns specify the
value or payoff associated with particular courses of action, for one
of the players (see Figure 3). In the zero-sum approximation, it does
not matter which player is chosen, since the losses of the one are the
gains of the other. This is the only case to be considered here.
Courses of action available to each party, label the rows and
columns. Rows are strategies and columns are counter-strategies, or
vice versa. The values within the matrix are the values gained by one
of the players, in units of the arbitrary currency of the game when a
given row-strategy and column-strategy are chosen. These values are
determined by policy and by information about how resources behave,
acquired from type I models: they are a set of value judgements about
what it important or unimportant in the system and to what degree.
Once this `payoff' matrix has been formulated, it contains
information about the potential outcome of a game or scenario, using
the strategies. This forms the basis for the theory of games [17,
18], whose methods and theorems make it possible to determine the
optimal course or courses of action in order to maximize one's
winnings. Obviously, any and all information which contributes to a
judgement is useful, however one does not necessarily need a
particularly detailed or accurate description to begin making simple
value judgements about system behaviour. Even a simple quantification
is useful, if it can distinguish between two possible courses of
action.
How much can a user or an attacker hope to win? From our basic
assumptions, the aim of a user is to maximize work produced or, in the
worst case, maximize resources consumed. The system administrator, or
embodiment of system policy, is not interested in winning the game for
resources in the same way as users, but rather in confounding the game
for users who gain too much control. The system administrator plays a
similar role to that of a police force. In a vague sense, the
administrator's jobs is to make sure that resources are distributed
fairly, according to the policies laid down for the computer society
(a Robin Hood role of altruistic government).
What is the currency of this evaluation? A definition is required
in order to quantify the production of useful work by the system and
its users. Clearly the term `useful work' spans a wide variety of
activities. Clearly work can increase and decrease (work can be lost
through accidents), but this is not really germane to the problem at
hand. The work generated by a user (physical and mental work and then
computationally assisted results) is a function of the information
input into the system by the user. Since the amount of computation
resulting from a single input might be infinite, in practice, the
function is an unknown.
In addition to the actual work produced by a user's strategy,
other things might be deemed to be of value, such as privilege and
status. In a community, wealth does not guarantee privilege or status
unless that coincides with the politics of the community. Payoff can
therefore be a complex issue to model. If one includes these ranking
issues into calculations, one might allow for the possibility that a
user plays the system rules in order to gain privileges for some later
purpose. A user who accrues the goodwill of the system administrator,
might eventually gain trust or even special privileges, such as extra
disk space, access to restricted data etc. Such problems are of
special interest in connection with security [19, 20].
For simplicity, the discussion of type II models in this paper
refers only to games with two players. In a community, games are not
necessarily two player zero sum engagements however. What is lost by
one player is not necessarily gained by an obvious opponent.
Moreover, the information available to different sides in a conflict
can affect their modes of play. The so-called prisoner's dilemma,
leads to the famous Nash equilibrium [21] which is a trade-off:
In a realistic situation one expects both parties in the two-
person game to use a mixture of strategies. The number of possible
strategies is huge and the scope for strategic contrivance is almost
infinite. Strategies can be broken down into linear combinations of
primitives just as any operation on the system can. What then is a
strategy?
In addition to simple strategies, there can be meta-strategies, or
long-term goals. For instance, a nominal community strategy might be
to:
An attack strategy might be to
Other strategies for attaining intermediate goals might include
covert strategies such as bluffing (falsely naming files).
Users can obey or ignore policy restrictions, use decoys, escalate or
mitigate hostilities, attack/kill/delete a resource, retaliate.
Defensive strategies might involve taking out an attacker, counter
attacking, or evasion (concealment), exploitation, trickery,
antagonization, incessant complaint (spam), revenge etc. Security and
privilege, levels of access, integrity and trust must be woven into
algebraic measures for the pay-off. One of the advantages of this
formulation on system administration is that it places regular
administration on the same footing as security issues. These were
never separate issues and should not be considered as such, even in
today's more security aware climate.
A means of expressing these devices must be formulated within a
language which can be understood by system administrators, but which
is primitive enough to enable the problem to be analyzed
algebraically.
The difficult part of a type II analysis is turning the high level
concepts and aims listed above, into precise numerical values. To
illustrate the procedure, consider an example of some importance,
namely the filling of user disks. The need for forced garbage
collection has been argued on several occasions [22, 5, 12], but the
effectiveness of different strategies for avoiding disk may now be
analyzed theoretically. This analysis is inspired by the user
environment at Oslo University College, and the expressions derived
here are designed to model this situation, not an arbitrary system.
The currency of this game must first be agreed upon. What value
will be transferred from one player to the other in play? There are
three relevant measurements to take into account: (i) the amount of
resources consumed by the attacker (or freed by the defender);
sociological rewards: (ii) `goodwill' or (iii) `privilege' which are
conferred as a result of sticking to the policy rules. These latter
rewards can most easily be combined into an effective variable
`satisfaction.' A `satisfaction' measure is needed in order to set
limits on individuals' rewards for cheating, or balance the situation
in which the system administrator prevents users from using any
resources at all. This is clearly not a defensible use of the system,
thus the system defenses should be penalized for restricting users too
much. The characteristic matrix now has two contributions,
The payoff in terms of the consumption of resources by users, to
the users themselves, can then be modelled as a gradually accumulation
of files, in daily waves, which are a maximum around midday:
It is possible to say several things about the relative sizes of
these contributions. The automatic system works at least as fast as
any human so, by design, in this simple model we have
The policy created in setting up the rules of play for the game,
penalizes the system administrator for employing strict quotas which
restrict their activities. Even so, users do not gain much from this,
because quotas are constant for all time. A quota is a severe handicap
to users in the game, except for very short times before users reach
their quota limits. Quotas could be considered cheating by the system
administrator, since they determine the final outcome even before play
commences. There is no longer an adaptive allocation of resources.
Users cannot create temporary files which exceed these hard and fast
quotas. An immunity-type model which allows fluctuations is a more
resource efficient strategy in this respect, since it allows users to
span all the available resources for short periods of time, without
consuming them for ever.
According to the minimax theorem, proven by John Von
Neumann, any two-person zero-sum game has a solution, either in terms
of a pair of optimal pure strategies or as a pair of optimal
mixed strategies [17, 18]. The solution is found as the balance
between one player's attempt to maximize his pay-off and the other
player's attempt to minimize the opponent's result. In general one can
say of the pay-off matrix that
The situation for our time-dependent example matrix is different
for small t and for large t. The distinction depends on whether
users have had time to exceed fixed quotas or not; thus `small t'
refers to times when users are not impeded by the imposition of
quotas. For small t, one has:
For large times (when system resources are becoming or have become
scarce), then the situation looks different. In this case one finds
that
This simple example of system administration as a strategic game
between users and administrators is only an illustration of the
principles involved in building a type I/II hybrid model. In spite of
its simplicity, it is already clear that user bluffing and system
quotas are strategies which are to be avoided in an efficient system.
The value of `goodwill' in curbing anti-social behaviour should not be
underestimated. By following this basic plan, it should be possible to
analyze more complex situations in future work.
From the type I models studied at Oslo [4, 7], it appears that the
most important characteristic of the average user behaviour is its
periodicity: the average state of computers has a daily period and a
weekly period; these trace the social cycles of users all around the
world. It is possible, as more is learned, that more detailed
characteristics will emerge which are general enough to be used in a
type I/type II hybrid. The main promise of type I theories lies in the
possibility of anomaly detection and self-analysis, leading to fault
detection, intrusion detection and improvements in immune system
technology at the user level (e.g., cfengine). However, it is also
important to know, for strategic analysis, when the system is most
loaded, must vulnerable and most available.
Only one example of a type II theory has been examined here. What
other issues might be studied by a type II model? The possibilities
include strategies such as: consolidation versus distribution in
system planning (where should resources be located?); delegation vs
centralization; choosing many simple tools or a few powerful ones [23]
(cost of learning and support, functionality, likelihood of bugs,
results, rate of evolution of task and tools); the effect of system
work ethics on productivity in a business (does the business spend
most of its time working against itself or its competitors?); is the
best strategy one which leads to stability or perfection? Mission
critical systems and high security systems are obvious candidates for
analysis. Other resources uses: network share, processes, setting of
permissions, placement of security etc. The possibilities are limited
only by the imagination. The benefit of the type II model is in
setting up a systematic method for making impartial judgements about
strategies for system management and system regulation.
A common theme in all strategic studies, involving complex
competitive behaviour, is the so-called Red Queen scenario. This is
about working hard to maintain the status quo; it is a reference to a
scene from Alice Through The Looking Glass:
``Well in our country,'' said Alice, still panting a little,
``you'd generally get to somewhere else - if you ran very fast
for a long time as we've been doing.'' In choosing strategies which walk the line between compliance and
conflict, within a framework of rules (the prisoner's dilemma), some
studies have indicated that the best solutions are often cooperation
at first, and then tit for tat after that, if cooperation does
not work: i.e., try cooperation first to mitigate hostilities, and
then send a message that one means business thereafter.
Sketching out this recipe for analyzing system administration
policies reveals some potent ideas, which have a merit quite
independently of their analytical value. The idea of using mixtures of
strategies to most efficiently regulate a system, is so close to the
ideas used in cfengine [5, 12] as to suggest that they could be
adopted more even explicitly, and more dynamically. Rather than
relying on batch operation, a policy engine like cfengine could be
more dynamical in its responses to deviations from ideal state, and be
able to set in motion a variety of parallel responses, which might
extend its reach in dealing with more dynamical problems like network
intrusions. It could also respond to more long-term trends in system
usage and adapt its behaviour accordingly. Part of the motivation of
this work was precisely to see what could be done to improve on
cfengine [24]. Once refined, the approach in this paper will lead to
improvements in cfengine, and improve the automation of host security.
The aim of this paper has been to propose a framework for
analyzing models of system administration. Its main contention is that
it is possible to see system administration as the effort to keep the
system close to an ideal state, by introducing countermeasures in the
face of competitive resource consumption. This is the formal basis
which opens the way for objective analyses in the field.
With a mathematical approach, it becomes easier to see through
personal opinions and vested interests when assumptions and methods
are clearly and rigorously appraised. However, one can only
distinguish between those possibilities which are taken into account.
That means that every relevant strategy, or alternative, has to be
considered. This is the limitation of game theory. It is not possible
to determine strategies without the creative input of experts, and a
clearly described policy.
Appealing only to a simple-minded analysis of disk filling, some
straightforward conclusions are possible: the use of quotas is an
inefficient way of counteracting the effects of selfish users, when
the whole community's interests are taken into account. A quota
strategy can never approach the same level of productivity as one
which is based on competitive counterforce. The optimal strategies for
garbage collection are rather found to lie in the realm of the
immunity model [6, 15]. However, it is a sobering thought that a
persistent user, who is able to bluff the immune system into
disregarding it, (like a cancer) will always win against the resource
battle. The need for new technologies which can see through bluffs
will be an ever present reality in the future. With the ability of
encryption and compression systems to obscure file contents, this is a
contest which will not be easily won by system administrators.
Mark Burgess is an associate professor of physics and computer
science at Oslo University College, creator of cfengine and author of
the book Principles of Network and System Administration. He
may be reached at mark@iu.hio.no or https://www.iu.hio.no/ ~mark.
Cfengine can be obtained from https://www.iu. hio.no/cfengine. Oslo
University College's research pages for system administration are at
https://www.iu. hio.no/SystemAdmin.

*(t), whose existence is implied
by policy, the actual average state of the system
(t) which
is the mean value of behaviour over weeks, the actual state of the
system S(t) and fluctuations from the average state
(t) +
Primitive type Ti Comments/Examples
Create file object Touch
Delete file object Tidy garbage
Rename file object Disable
Edit file Configuration
Edit access control Permissions
Request resource Read/Mount
Copy file Read/write
Process control Start/stop
Process priority Nice
Configure device ifconfig/ioctl

) back to the ideal
state is:

|:

)
measures this more than exponentially divergent problem. This hopeless
search is the fate of any immune system without specific expert
knowledge.
Modelling Computer Behaviour


vectors.
Payoff in Type I and Type II Hybrids

A user of the system who pursues solely private interests, does
not necessarily promote the best interest of the community as a
whole.
Should users cooperate or fight to maximize their winnings? Users can
sabotage their own self-interest by using up all the available
resources on a finite system, gaining enemies or losing the goodwill
of system police. Strategies which succeed in encouraging users to
comply with guidelines can therefore be an effective way of ensuring a
fair use of resources. The main reason for considering two person
games here is the overriding simplicity of the two person game,
compared to including more players. This should not be taken to imply
that more complex models will not be important.
Users/System Ask to tidy Tidy by date Tidy
above Quotas
Threshold
Tidy when
asked
(1,1)
(1,2)
(1,3)
(1,4)
Never tidy
(2,1)
(2,2)
(2,3)
(2,4)
Conceal
files
(3,1)
(3,2)
(3,3)
(3,4)
Change
timestamps
(4,1)
(4,2)
(4,3)
(4,4)
Example Games
=
r(resources)
+
r(satisfaction).
s is
assigned arbitrarily on a scale from plus to minus one half, such
that, Satisfaction
s
is assigned arbitrarily on a scale from
plus to minus one half,

. The different strategies can now be
regarded as duels, or games of timing; see Table 2. These elements of
the characteristic matrix must now be filled, using a model and a
policy. A general expression for the rate at which users produce files
is approximated by:

is about one percent. The rate can be expressed as a scaled number
between zero and one, for convenience, so that rb = 1 -
rg.

g and
b, with ru replaced by
rg or
rb respectively. An automatic garbage collection
system (cfengine) results in a negative pay-off to users, i.e., a pay-
off to the system administrator. This may be written

s = 0 here, but the quota yields

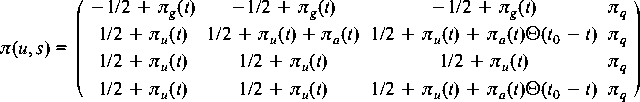
Thus, in summary, the characteristic matrix is given by:
(1,1):
Here
s = -1/2 since the system administrator is as
satisfied as possible by the users' behaviour.
r is the rate
of file creation by good users
g, i.e., only legal files are
produced. Comparing the strategies, it is clear that
(1,1) =
(1,2) =
(1,3).
(1,4):
Here
s = 0 reflecting the users' dissatisfaction with the
quotas, but the system administrator is penalized for restricting the
freedom of the users. With fixed quotas, users cannot generate large
temporary files.
q is the fixed quota payoff, a fair slice of
the resources. Clearly
(4,1) =
(4,2) =
(4,3)=
(4,4).
The game has a fixed value if this strategy is adopted by system
administrators. However, it does not mean that this is the best
strategy, according to the rules of the game, since the system
administrator loses points for restrictive practices, which are not in
the best interest of the organization. This is yet to be determined.
(2,1):
Here
s = 1/2 since the system administrator is maximally
dissatisfied with users' refusal to tidy their files. The pay-off for
users is also maximal in taking control of resources, since the system
administrator does nothing to prevent this,
thus
r =
u.
Examining the strategies, one finds that
(2,1) =
(3,1) =
(3,2) =
(3,3) =
(4,1) =
(4,2).
(2,2):
Here
s = 1/2 since the system administrator is maximally
dissatisfied with users' refusal to tidy their files. The pay-off for
users is now mitigated by the action of the automatic system which
works in competition,
thus
r =
u -
a. The
automatic system is invalidated by user bluffing (file concealment).
(2,3):
Here
s = 1/2 since the system administrator is maximally
dissatisfied with users' refusal to tidy their files. The pay-off for
users is mitigated by the automatic system, but this does not activate
until some threshold time is reached, i.e., until t > t0.
Since changing the date cannot conceal files from the automatic
system, when they are tidied above threshold, we have
(2,3) =
(4,3).



q
>
u, but users can
quickly fill their quota and overtake this. In a zero-sum game, the
automatic system can never tidy garbage faster than users can create
it, so the first inequality is always saturated. From the nature of
the cumulative pay-offs, we can also say that



Figure
4: The absolute values of pay-off contributions as a function of
time (in hours), For daily tidying Tp = 24. User numbers are
set in the ratio (ng,
nb)=(99,1), based on rough ratios
from the author's College environment, i.e., one percent of users are
considered mischievous. The filling rates are in the same ratio:
rb/Rtot = 0.99,
rg/Rtot = 0.01,
ra/Rtot = 0.1.
The flat dot-slashed line is |
q|, the quota pay-off. The lower wavy line is the
cumulative pay-off resulting from good users, while the upper line
represents the pay-off from bad users. The upper line doubles as the
magnitude of the pay-off |
a| >=
|
u|, if we
apply the restriction that an automatic system can never win back more
than users have already taken. Without this restriction,
|
a| would be steeper.

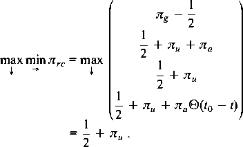
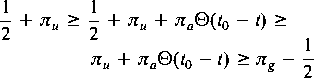
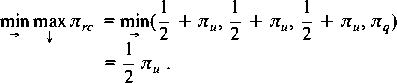
) and columns
(
). The left hand side is the
least users can hope to win (or conversely the most that the system
administrator can hope to keep) and the right is the most users can
hope to win (or conversely the least the system admin can hope to
keep). If we have Equation 2,


The ordering of sizes in the above minimum
vector is:



Future Work
``A slow sort of
country!'' said the Queen. ``Now here, you see, it takes all the
running you can do, to keep in the same place. If you want to
get somewhere else, you must run twice as fast as that!''
This is also referred to as an arms race. In a true dynamical system,
nothing stands still. Adapting one's strategies to be optimal over
time means a continual reappraisal of their efficacy. One has to be
running all the time to keep up with the environment, continually
adapting to change. The need for garbage collection is an example of
this.
Summary
Author Information
References
[1] R. Evard, ``An Analysis of Unix System Configuration,''
Proceedings of the 11th Systems Administration Conference
(LISA), page 179, 1997.
[2] S. Traugott and J. Huddleston, ``Bootstrapping an
Infrastructure,'' Proceedings of the 12th Systems Administration
Conference (LISA), page 181, 1998.
[3] M. Burgess, ``On the theory of system administration,''
Submitted to the Journal of the ACM, 2000.
[4] M. Burgess, ``Information theory and the kinematics of
distributed computing, submitted to Physical Review E, 2000.
[5] M. Burgess, ``A site configuration engine,'' Computing
systems, 8:309, 1995.
[6] M. Burgess, ``Computer immunology,'' Proceedings of the
12th Systems Administration Conference (LISA), page 283, Usenix
Association, 1998.
[7] M. Burgess, H. Haugerud, and S. Straumsnes, ``Measuring Host
Normality, I,'' submitted to Software Practice and Experience,
1999.
[8] M. Burgess and Trond Reitan, ``Measuring Host Normality,
II,'' submitted to Software Practice and Experience, 1999.
[9] N. Glance, T. Hogg, and B. A. Huberman, ``Computational
Ecosystems in a Changing Environment,'' International Journal of
Modern Physics, C2:735, 1991.
[10] E. D. Zwicky, S. Simmons, and R. Dalton, ``Policy as a
system administration tool,'' Proceedings of the Fourth Systems
Administration Conference (LISA), SAGE/USENIX, page 115, 1990.
[11] B. Howell and B. Satdeva, ``We have met the enemy: An
Informal Survey of Policy Practices in the Internetworked Community,''
Proceedings of the fifth systems administration conference
(LISA), SAGE/USENIX, page 159, 1991.
[12] M. Burgess and R. Ralston, ``Distributed resource
administration using cfengine,'' Software practice and
experience, 27:1083, 1997.
[13] M. Burgess, ``Automated system administration with feedback
regulation,'' Software Practice and Experience, 28:1519,
1998.
[14] F. Reif, Fundamentals of Statistical Mechanics,
McGraw-Hill, Singapore, 1965.
[15] M. Burgess, Principles of Network and System
Administration, J. Wiley & Sons, Chichester, 2000.
[16] M. Burgess, ``Thermal, non-equilibrium phase space for
networked computers,'' Physical Review, E62:(in press), 2000.
[17] J. V. Neumann and O. Morgenstern, Theory of games and
economic behaviour. Princeton University Press, Princeton, 1944.
[18], M. Dresher, The mathematics of games of strategy,
Dover, New York, 1961.
[19] V. Jones and D. Schrodel, ``Balancing security and
convenience,'' Proceedings of the First Systems Administration
Conference (LISA), (SAGE/USENIX), page 5, 1987.
[20] I. S. Winkler and B. Dealy, ``Information Security
Technology? Don't Rely On It. A Case Study in Social Engineering,''
Proceedings of the 5th USENIX Security Symposium, page 1, 1995.
[21] J. F. Nash. Essays on Game Theory, Edward Elgar,
Cheltenham, 1996.
[22] E. D. Zwicky, ``Disk space management without quotas,''
Proceedings of the third systems administration conference
(LISA), (SAGE/USENIX), page 41, 1989.
[23] H. E. Harrison, ``Maintaining a consistent software
environment,'' Proceedings of the First Systems Administration
Conference (LISA), (SAGE/USENIX), page 16, 1987.
[24] M. Burgess, ``Evaluating cfengine's Immunity Model of System
Maintenance, Proceedings of USENIX/SANE 2000, Netherlands,
2000.